F1發車瞬間 2015年FIA規定,F1賽車的空油重量不得低于702公斤,那么算上車手和油箱的重量,比賽中賽車的總重量約為800公斤,如果一塊特斯拉超級電池的能

F1發車瞬間
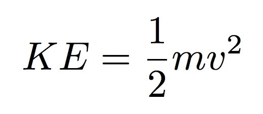
2015年FIA規定,F1賽車的空油重量不得低于702公斤,那么算上車手和油箱的重量,比賽中賽車的總重量約為800公斤,如果一塊特斯拉超級電池的能量瞬間懟在這臺賽車上,根據公式

我們可以算出,賽車的瞬時速度將達到11.5億米/秒...也就是4140000000公里/時,舒馬赫聽了想自燃。

世界上能夠駕馭這個速度的,恐怕也只有鋼鐵俠了
通過上面兩個例子,相信大家已經充分體會到了特斯拉超級電池的威力,這么厲害的電池究竟是干什么用的呢?除了滿足自家特斯拉的電動車量產以外,也將與合作伙伴一起,推動全球可持續能源的發展和利用。科技狂人埃隆·馬斯克在未來還會帶給我們哪些“瘋狂”的創舉呢,讓我們共同期待吧!

電池網微信












