先說無聊的:129兆瓦·時是什么概念?
提到埃隆·馬斯克,筆者總會想到電影《鋼鐵俠》,在我看來,這個男人簡直就是現實版的托尼·斯塔克。這可不是信口開河,想想看,他打造了世界上最酷的電動車、最酷的可回收火箭,還有最高時速超1200公里/時的超級隧道,埃隆·馬斯克一直在嘗試將科幻電影中的畫面變成現實。而如今,他又將造出世界上最大的“超級電池”。

埃隆·馬斯克和鋼鐵俠可不只是神似
當然,從技術層面講,生產電池的并不是埃隆·馬斯克本人,而是特斯拉公司,不過這也沒什么差別,畢竟特斯拉也是人家自己的。據外媒報道,特斯拉預計生產的電池陣列將能夠儲存129兆瓦·時的電量!

沙漠中的特斯拉超級電池工廠
等等...129兆-什么?兆瓦·時究竟是個什么量級的單位?特斯拉的超級電池到底有多牛?聽我為您細細道來。
1.先說無聊的:129兆瓦·時是什么概念?
我們在初中物理就學過,能量最常用的單位是“焦耳”。舉個簡單的例子,將一本書從地上撿起并放到桌上,這個過程消耗的能量約為10焦耳,當然這只是個近似值,具體的能量消耗值取決于書的重量和書桌的高度。
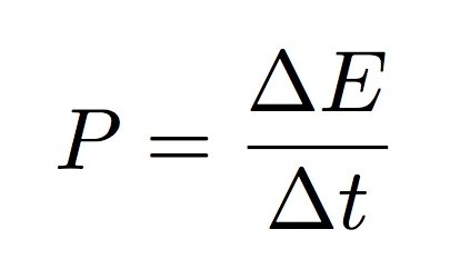
那么兆瓦時呢?首先,它也是能量的單位之一,想要更直觀理解它,我們需要了解另一個概念:功率。在中學物理老師無數次的重復中,我總算記住了這個公式:

功率的計算公式
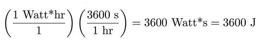
其中△E是能量的變化,△t則是時間的變化,如果二者都是標準單位的話,功率的單位就是W(瓦)。那么功率·時間就是能量的另一個表現形式,而1瓦·秒=1焦耳,按照下面的公式我們可以算出,1瓦·時=3600焦耳。

所以,129兆瓦·時就等同于4.6x1011焦耳能量,但這么說還是不夠直觀,這些能量究竟能做什么?我再給您舉兩個例子。
2.來點刺激的:兩個例子體會強大能量
①能讓航母上天?
前面說了,我們將一本書從地面撿起放到桌上大概需要10焦耳的能量,那么4.6x1011焦耳能量能舉起什么呢?舉起重物也就是增加了它的重力勢能,這就需要用到我們中學課本上的另一個公式:

增加的重力勢能=物體的重量x舉起的高度x當地重力加速度(約為9.8)

金字塔:聽說有人想把我舉高高?
我們假設高度為10米,也就是大概3層樓那么高,4.6x1011焦耳能量能夠舉起的物體重量約為47億公斤,也就是4.7x106噸,嗯...大概相當于一個吉薩金字塔那么重。想象下,把金字塔舉起離地面10米的高度,也是挺酷的!

上次把美國航母拋離海面的還是變形金剛
感覺舉起金字塔還是不現實?那我們換個大家相對更熟悉的:美國尼米茲級航空母艦“卡爾文森”號,其重量約為1000萬公斤,按照前面的公式,特斯拉一組電池序列的能量可以將其舉起469米的高度。想要航母上天?用一塊兒特斯拉的電池就夠了。
②瞬時加速怎么樣?
F1比賽大家都不陌生,賽車啟動的瞬間其速度能達到數百公里/小時,這依賴于發動機產生的能量,帶來的則是賽車“動能”的增加。那么我們就以F1賽車為例,4.6x1011焦耳能量可以將一輛F1賽車速度達到多少?

電池網微信












